__________

Designing the Future with Circuits

반도체 회로설계 취준기

하만(Harman) 세미콘 반도체 설계 과정/전자회로 해석 및 설계

하만(Harman) 세미콘 아카데미 21일차 - 전자회로 해석 및 설계(OrCAD, PSpice, 최대 전력전달, 위상, 캐패시터, 유전율)

semicon_designer 2024. 4. 4. 11:58
728x90

[2024.04.04.목] 인천인력개발원 하만 세미콘 아카데미


전자회로 해석 및 설계


실습 1: 최대 전력 전달 측정


1. 새 프로젝트 생성(MaxPwr) - Create Blank Project

 
2. 20일차 참고하여 변수 선언 및 회로 구성

 

  • 오실로스코프
    출처: SparkFun Learn
    • 프로브를 이용하여 전압 측정
    • 디스플레이에 전압을 파형으로 표시
    • OrCAD에서는 다음 아이콘으로 측정 가능

 

W: 파워 측정

3. 파워 마커를 오른쪽 저항에 클릭

 
4. New Simulation Profile - DC로 이름 설정

 
5. Analysis 에서 Analysis Type을 DC Sweep로 설정

 
6. Sweep Variable의 글로벌 파라미터 선택 - 이름 입력

 
7.  저항을 1~1k까지 100옴씩 증가시키기 위해 Sweep Type에서 설정

 
8. 시뮬레이션 실행(F11)

결과 확인

 
9. x축 숫자 더블클릭 - X Grid - Major Grids를 Dots로 변경, Y Grid도 동일하게 변경 - 하단 Save as Dafault 클릭 - OK

 
10. 결과 확인

 

  • 배경 색 변경 방법: 상단 메뉴 Tools - Options - Color Settings

 
11. Mark Data Points 클릭하여 결과 확인: 흰색 점 표시

흰색 점 간을 직선으로 이어서 만든 그래프임을 알 수 있음 -> 시뮬레이션 간격을 좁혀 정확도 향상 가능

 
12. Schematic 상단 Edit Simulation Profile에서 수정 가능

increment를 1로 변경

 
13. 정확한 결과값 도출 가능

 
14. 최댓값인 저항값을 알기 위해 Toggle Cursor 클릭

초록색 부분이 커서의 빨간색 커서의 위치 표현
Probe Cursor의 초록색으로 칠해진 부분이 빨간색 커서의 위치

 
15. 최댓값 위치를 찾아 빨간색 커서 위치시킨 후 좌우 방향키를 통해 최대 위치 찾기

 

  • 다음 아이콘으로 최댓값 검색 가능

 

  • 다음 아이콘으로 라벨 설정 가능

라벨 설정 시 다음과 같이 표현

  • 다음 아이콘으로 텍스트 추가 가능, 텍스트 더블클릭하여 폰트, 색상 변경 가능

  • 문서로 그래프 옮기는 방법
    1. Window - Copy to Clipboard - change white to black
    2. PPT에 붙여넣기하여 사용 가능
      캡처시 검정색 배경이지만, 이 방법으로 복사하면 깔끔한 배경으로 복사가 가능
    3. 글씨가 안보이므로 resize를 위해 우상단의 가운데 버튼 클릭하여 사이즈 작게 수정
    4. 다시 위 과정 반복 후 문서에 붙여넣기(Ctrl+Alt+V: 원본 붙여넣기)
    5. 다음과 같이 잘 출력되는지 확인

 

  • Schematic Redraw: F5, Simulation Redraw: Ctrl+L (화면에 불필요한 정보의 잔상이 남아있을 때 초기화)

1. 회로해석 이론


1. 최대 전력 전달

  • 부하 RL에 최대 전력을 공급하는 조건: 회로의 테브난 등가저항 Rs와 RL이 같을 때
    Rs = Source Resistance, RL = Load Resistance
  • 무선통신 시스템에서 전달이 용이하기 위해 최대 전력 전달을 사용
  • 일반적인 통신 시스템에서는 신호 전달이 중요 -> RL과 RS이 동일 x, RL이 커야 함

2. 정현파

출처: Electronics Tutorials

  • 각속도: 1초동안 회전한 각도, ω [rad/sec]
  • t초동안 θ [rad]만큼 회전했을 때의 각속도 -> ω = θ / t [rad/sec]
  • 주기(Period): 1바퀴 회전에 필요한 시간(같은 위상으로 돌아오는 데 걸리는 시간) T = 2π / ω [sec]
  • 주파수(Frequency): 1초 동안에 반복되는 회전수, f[Hz] T = 1/f [sec] or f = 1/T [Hz] or ω = 2πf [rad/s]
  • 진폭(Amplitude or Magnitude): 진동 중심으로부터 꼭대기까지 거리
  • Peak to Peak:  꼭대기~꼭대기 값 (Vpp로 사용)
  • 사인파 표현(Vm = 진폭): v(t) = Vm*sin θ [V] = Vm*sin ωt [V] = Vm*sin 2πft [V]
  • RPM(Revolutions Per Minute): 분당 공전수, 분당 회전수. 1RPM = 60Hz

3. 위상과 위상차

  • 위상(phase): 사인파의 시간적 지연 현상을 각으로 표현
  • v = Vm*sin (ωt + θ), θ는 위상

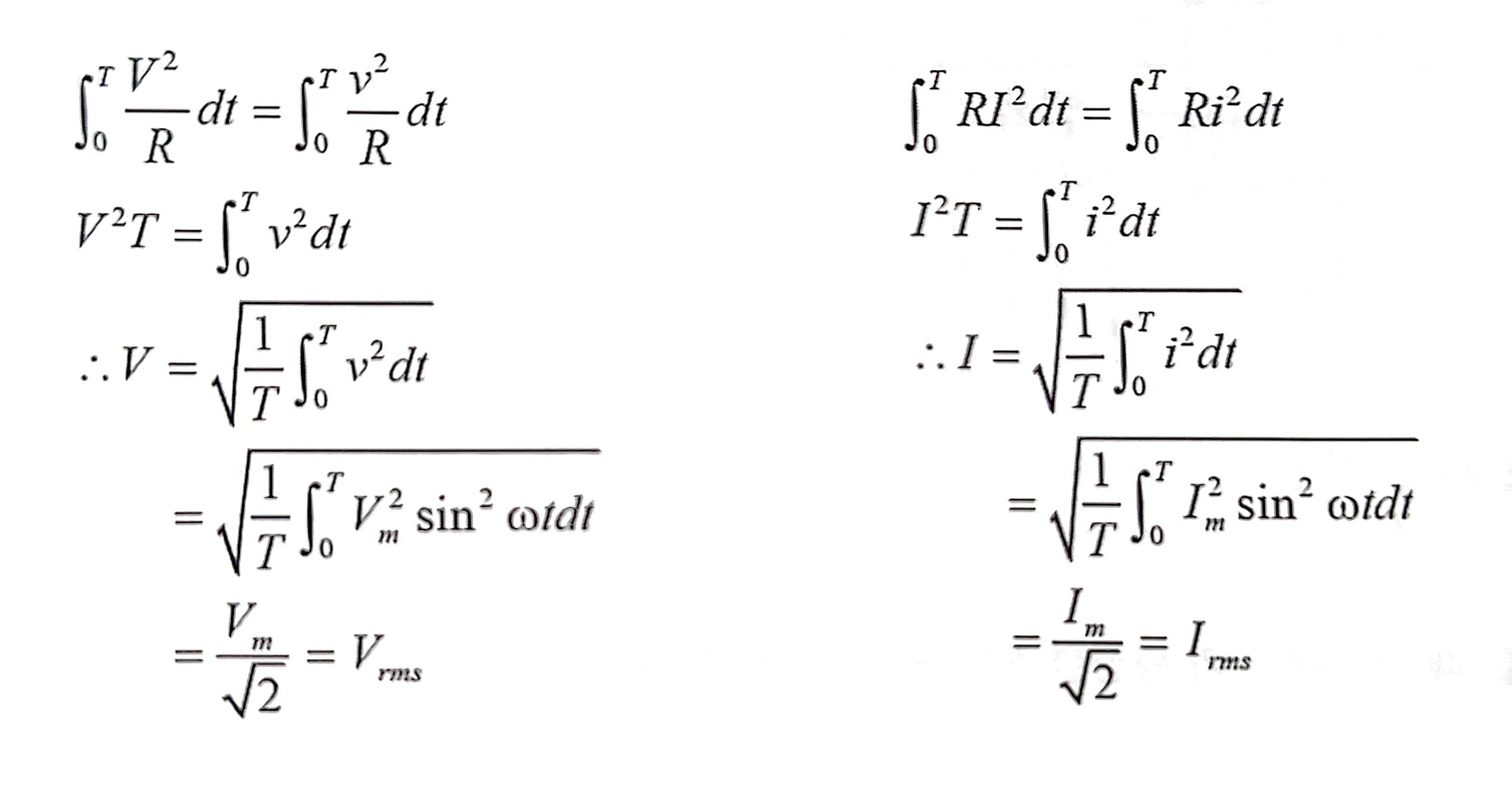
4. 실효값( effective value, root mean square value: rms)

  • 주기파를 이용하여 직류와 동일 열량 발생 시의 값
  • 대부분 전류계, 전압계는 실효값을 지시(국내 정격전압 220V = 전압의 실효값)
  • 국내의 콘센트 교류전압 실효값 220V = 직류 220V와 같은 에너지를 가짐
  • 정현파의 실효값
    위 식을 통해 국내 전압의 Vm은 약 311V임을 알 수 있음

2. 에너지 저장소자


1. 캐패시터(Capacitor)

  • 캐패시터 = 콘덴서
    • 평행 극판 사이 절연체 위치
    • 역할: 전하 충전 기능 = 전기(전계) 에너지 저장
    • 평행 금속판에 전압 인가 -> 같은 양의 양전하와 음전하가 금속판 표면에 축적
    • 기호: -||-
  • 정전용량(Capacitance)
    • 전하를 충전할 수 있는 능력(용량)
    • 기호: C
    • 단위: [F] (Farad, 패럿)
    • 1[F]: 1[V]의 전압을 인가했을 때, 캐패시터가 충전한 전하량이 1[C]인 상태
    • 정전용량에 영향을 미치는 요소
       - ε: 유전체 유전율
       - A: 극판의 면적
       - d: 극판 사이의 거리
    • 충전된 전하량 Q = CV

2. 캐패시터의 에너지 저장

  • 인가한 전압의 방향과 동일한 방향으로 전압 충전
  • 저항에서는 열로 에너지를 소모
  • 충전된 에너지 = 전기에너지

실습 2: 캐패시터 동작


1. 프로젝트명 RLC로 새 프로젝트 생성

 
2. 회로 구성

좌측 전압원은 VPULSE(Pulse Wave 전압원)

  • VPULSE(Pulse Wave 전압원)
    • V1: 최초 stage값
    • V2: 두 번째 stage값
    • TD: 지연시간(Delay Time)
    • TR: 상승시간(Rising Time)
    • TF: 하강시간(Falling Time)
    • PW: 펄스 폭(Pulse Width)
    • PER: 주기(PERiod)
  • PWM(Pulse Width Modulation)
    • OrCAD에서 PW를 변수로 PW = {pw}로 설정하여 구현 가능
    • Duty Rate = PW / PER = 펄스 폭 / 주기 (%)

3. simulation 생성: tran으로 작성 후 다음과 같이 설정

 
4. 시뮬레이션 실행

전하가 충전되고 방전되는 데 시간이 소요되므로 그래프의 형태가 위와 같이 형성

 
5. Schematic에서 Place Net Alias 기능을 이용해 node(=net)에 이름 설정

Place Net Alias
이름 입력 후 설정할 노드 상단 클릭

 
6. F11눌러 시뮬레이션 실행 후 이름 변화 확인

7

 
7. Wire에 Current Marker 찍어보기 -> 오류 발생

 
8. Current Marker은 핀 끝에 찍기

 
9. 결과 확인

 
 
10. Plot-Add plot to window

 
11. 전압 그래프를 클릭, Ctrl+X, 위쪽에 Ctrl+V

 
12. 결과 확인

 

  • 그래프 분석
    • 충전순간 - V증가, I 감소 시작 / 방전순간 - V감소, I증가
    • 전압 미분 -> 전류 그래프
    • V 일정구간(Vdc) -> 전류 = 0, 저항 = 무한 -> Open Circuit (충전, 방전 완료)
    • V 변화구간(Vac) -> 전류 ≠ 0 -> 교류전압에서 축전기의 전류가 흐름 = 충전, 방전하는동안 전류 흐름
728x90